陕西小吃美食价格交流群

葫芦丝《草原夜色美》,轻骑踏月不忍归

2023-05-25 17:04:50

点击"葫芦丝家园"  免费关注


✟ 葫芦丝家园 ✟

芦 友 们 的 精 神 家 园

长按识别 直接进入

精彩内容推荐,可点击了解
离婚要孩子还是要房子夫妻吵架不能说这句话
婆婆要扔掉媳妇五胞胎男人最在乎的第1次是?
穿鞋尺码决定是何女人女人偷个情人又何妨?
女人命好不好看这里!女人嫁没嫁对人看这里

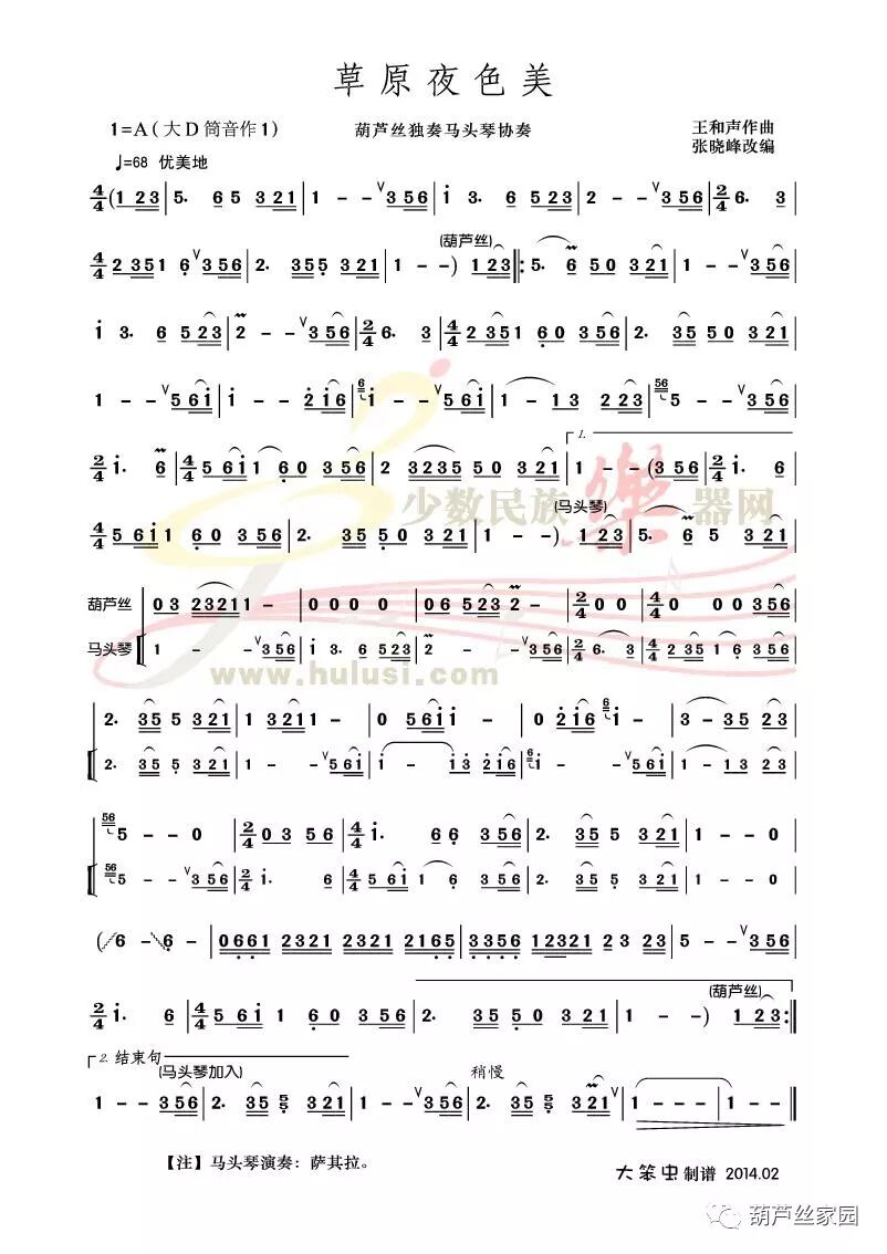
草原夜色美


这首歌描写了草原夜色的壮观景像,歌声浑厚·深沉·激越,展示了草原牧民以大自然为背景的风光写照。

葫芦丝《草原夜色美》音频

演奏|张晓峰

歌曲《草原夜色美》视频




草原夜色美

琴曲悠扬笛声脆

晚风吹送天河的星啊

汇入毡房闪银辉



晚风吹送天河的星啊

汇入毡房闪银辉

草原夜色美

九天明月总相随



晚风轻拂绿色的梦啊

牛羊如云落边陲

晚风轻拂绿色的梦啊

牛羊如云落边陲



草原夜色美

未举金杯人已醉

晚风唱着甜蜜的歌啊

轻骑踏月不忍归

晚风唱着甜蜜的歌啊

轻骑踏月不忍归


其他需要请留言

葫芦丝作品投稿渠道

邮箱:2190921842@qq.com


分享】是一种美德


本文素材均来自网络,如涉及原作者权益,请联系小编删除。


订 阅 葫 芦 丝 家 园 

长 按 二 维 码

识 别 图 中 二 维 码


点击阅读原文进入葫芦丝论坛!

友情链接

Copyright © 2023 All Rights Reserved 版权所有 陕西小吃美食价格交流群